Japan Announces 2025 Minimum Wage Increase: National Average Raised to JPY 1,225/hour
Recently, Japan’s Ministry of Health, Labour and Welfare announced the minimum wage standards for fiscal year Reiwa 7 (2025). According to the notice, starting from October 4, 2025, Japan’s minimum wage will be raised again nationwide, with the average hourly wage increasing to JPY 1,225, up 5.4% year-on-year.
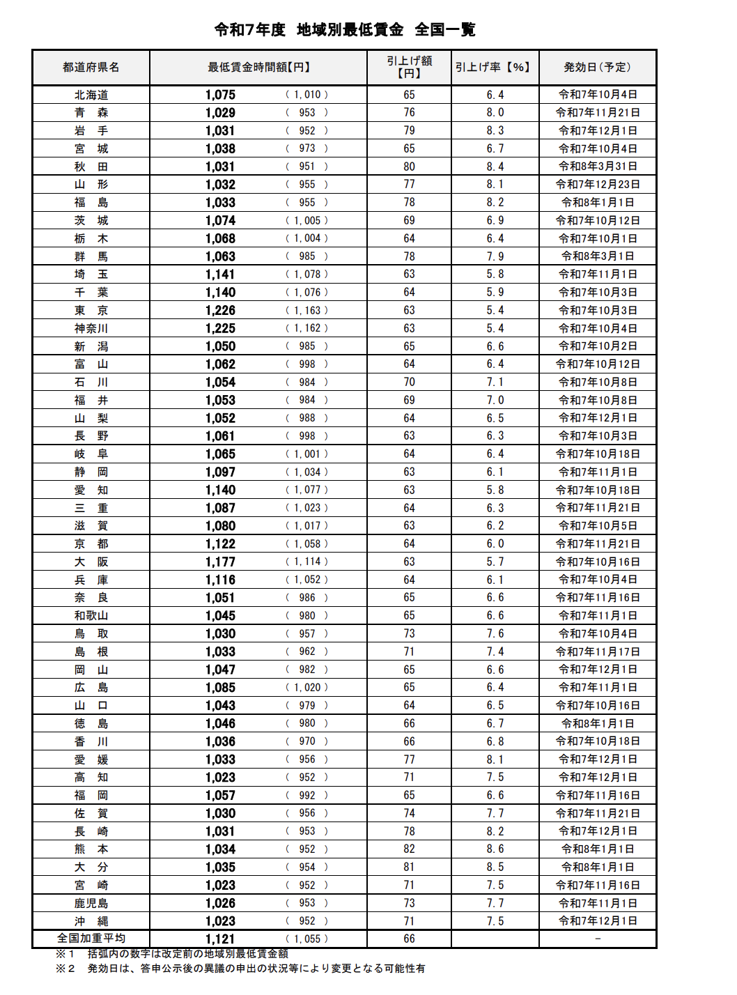
🔍 Regional Minimum Wage Highlights
- Highest levels: Tokyo JPY 1,226, Kanagawa JPY 1,225, Osaka JPY 1,177, Kyoto JPY 1,122
- National average: from JPY 1,121 → JPY 1,225
- Significant increases: Iwate, Akita, Kumamoto and other prefectures saw wage hikes of over 8%
- Effective dates: From October 4, gradually implemented across regions (some areas between November 2025 and March 2026)

Reference: Ministry of Health, Labour and Welfare – “FY2025 Regional Minimum Wage List”
Japan has been promoting a “wage hike for growth” policy in recent years. Minimum wages have risen continuously since 2002. With ongoing labor shortages and rising living costs, this upward trend is expected to continue.
For Chinese enterprises hiring employees in Japan or planning to enter the Japanese market via EOR (Employer of Record), this means:
- Rising labor costs → Especially in labor-intensive industries such as manufacturing, retail, and services.
- Stricter compliance requirements → All EOR employees must meet the latest minimum wage standards.
- Budget adjustments required → Cross-border assignments and long-term employment models must be recalculated.
✅ SmartDeer Recommendations for Businesses
- Review existing contracts: Ensure employee salaries are not below the new standards.
- Recalculate cost structures: Factor in regional differences—Tokyo/Osaka and other core cities face the highest pressure.
- Leverage professional services: Use EOR/HRO models to stay compliant while reducing management burden.
The latest increase in Japan’s minimum wage is not only a signal of economic policy but also a real cost factor that all global companies must address. For enterprises, compliance in employment is not optional—it is fundamental. Those who adapt faster, secure talent, and ensure compliance will be better positioned to succeed in the Japanese market.
About SmartDeer
SmartDeer is a leading global platform for workforce compliance and HR solutions, specializing in:
- Cross-border employment compliance
- HR outsourcing (EOR/HRO)
- Global payroll services
- Visa and mobility support
- HR SaaS systems
With coverage in 150+ countries and regions and wholly owned entities across Asia, North America, the Middle East, and Europe, SmartDeer provides secure, efficient, and compliant workforce solutions for global businesses.
Whether you are hiring international employees or navigating multi-country HR compliance, SmartDeer is your trusted partner for global expansion.

📲 Scan the QR code above to connect with a dedicated advisor and learn more.
发表回复